i sve to građani plaćaju

Pet zvjezdica, biznis klasa, luksuz, papreno skupo...: Pogledajte hotele u kojima odsjedaju bh. političari

Front04.02.20, 15:07h

Pet zvjezdica, biznis klasa, luksuz, papreno skupo...: Pogledajte hotele u kojima odsjedaju bh. političari
Od Moskve, preko Brisela do Vašingtona, teško da možete da pronađete mjesto na koje su putovali naši funkcioneri, a da neki od njih nije nakon napornog posla odmarao u najskupljim hotelima, uživajući u pogodnostima Superiror ili Deluxe soba

 

 

Izvor: Buka
Piše: Milovan Matić


Političari u BiH itekako znaju da uživaju u privilegijama koje su nezasluženo dobili, odnosno koje su sami sebi dodijelili. Pa tako svake godine potroše milione maraka samo na putovanja među kojima nerijetko odsjedaju u najskupljim svjetskim hotelima do kojih dolaze vozeći se biznis klasom.


Tako su prema posljednjim podacima do kojih je došao naš portal u Predsjedništvu BiH već rezervisali 200.000 KM za avionske karte u ovoj godini. Isto su uradili i u Savjetu ministara gdje su za avio karte obezbijedili preko 260.000 KM, a Parlamentarnoj skupštini planiraju da na putovanja poslanika avionom potroše preko 350.000 KM.


Inače, samo u prošloj godini ministri i poslanici su potrošili stitine hiljada maraka na smještaj u luksuznim hotelima širom BiH i svijeta. A, kako su ih godine provedene u institucijama naučile samo na najbolje, tako se sve češće dešava spavaju u hotelima sa pet zvjezdica.


Od Moskve, preko Brisela do Vašingtona, teško da možete da pronađete mjesto na koje su putovali naši funkcioneri, a da neki od njih nije nakon napornog posla odmarao u najskupljim hotelima, uživajući u pogodnostima Superiror ili Deluxe soba.


Nekoliko primjera koje smo izdvojili pokazuju koliko su tokkom svojih putovanja pojedini ministri postali rastrošni i zaboravili da sav taj luksuz u kojem uživaju plaćaju građani BiH, od kojih više od 70 odsto njih živi na „ivici“.


Malo ko je u ministarstvima propuštao priliku da se o trošku države otisne na neko putovanje i uživa u čarima luksuznih hotela u kojima su odsjedali.
Najbolji primjer za to je posljednji slučaj iz ministarstva komunikacija i transporta, koje je u posljednjih godinu dana prema dostupnim podacima nanizalo rapektabilnu listu poznatih odmarališta i gradova na koja su njihovi službenici i funkcioneri odlazili.


Uglavnom, krajem prošle godine u potnatom ljetovalištu Šarm el Šeiku boravili su njihovi predstavnici – pomoćnik ministra i šef Odsjeka za komunikacije, koji su građane koštali 3.593 KM za avionske karate, 2.628 KM za smještaj, 1.128 KM za dnevnice i ostale izdatke 55,20 KM. S tim da je pomoćnik ministra noćio u hotelu sa pet zvijezdica.

 

sarm-el-seik-hotel2


Sve to ovako nabacano običnom građaninu BiH i ne znači mnogo, pa vam donosimo i nekoliko fotografija hotela u kojem su odsjeli predstavnici ministarstva.


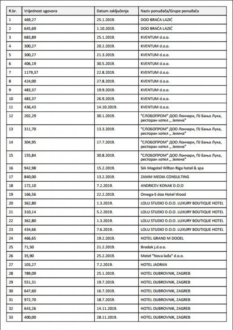
A kako to izgleda u brojkama kada predstavnici ministarstava troše, najbolje ćete se uvjeriti u pregledu troškova smještaja tokom prošle godine. Mi smo izdvojili samo neke.

 

min-kom-1-hotel-cijene
min-kom-1-hotel-cijene-copy
min-kom-2-hotel-cijene
min-kom-2-hotel-cijene-copy


Nastavak teksta i više detalja čitajte ovdje.

 

(DEPO PORTAL/BLIN MAGAZIN/ad)

 

 


Depo.ba pratite putem društvenih mreža Twitter i Facebook



Komentari - Ukupno 4

NAPOMENA - Portal Depo.ba zadržava pravo da obriše neprimjereni dio ili cijeli komentar bez najave i objašnjenja. Mišljenja iznešena u komentarima nisu stavovi redakcije web portala Depo.ba!